Власники дорогих авто в Україні повинні щороку платити транспортний податок. Утім, виявляється, що частина елітних моделей вартістю сотні тисяч доларів не підпадають під цей податок, і їх власники можуть зекономити. Про це розповіли в сюжеті BIHUS Info.
Податок на розкіш в Україні складає 25 000 гривень на рік. Він поширюється на автомобілі віком до 5 років і вартістю від 375 мінімальних зарплат (у 2024 році це 2 662 500 гривень).

Хоча дорогі преміальні авто в Україні — не рідкість, надходження до бюджету від транспортного податку не такі вже й великі — у 2023 році вони склали 160 млн гривень.
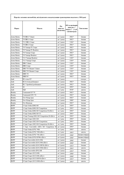
Справа в тім, що податок на розкіш нараховується власникам лише тих дорогих авто, які є в спеціальному списку. Його щороку публікує Міністерство економіки.




Цьогоріч у списку 184 моделі 13 марок, і чимало елітних авто просто відсутні в ньому. Наприклад, немає там Ferrari, вартість яких в Україні подекуди сягає 800 000 доларів. Наприклад, італійські суперкари є в мільйонера Олександра Слобоженка та начальника юридичного відділу ДП МОУ “Оборонавторемонтсервіс” Валентина Слободянюка.
Ще два виробники суперкарів — Lamborghini та McLaren — також відсутні в цьому списку. У 2023 році чомусь зник із нього Rolls-Royce, хоча на українських дорогах з’явилися нові авто цієї марки. За кермом одного з них бачили народного депутата Геннадія Вацака.
Виключили зі списку Мінекономіки й автомобілі Alpina — серйозно доопрацьовані BMW. Один із нових Alpina XB7 2023 року записаний на фірму родини Гринкевичів, які є фігурантами справи про постачання неякісної форми для ЗСУ.
Не потрапили до списку низка моделей Mercedes-Benz, а також Rivian R1T, електричний Hummer чи Chevrolet Corvette. Дані про деякі авто внесені з помилками: наприклад, у Cadillac Escalade і Bentley неправильно вказаний об’єм двигуна, а Mercedes-Maybach написали з помилкою — Mavbach.
Новини про життя людей, соціальні зміни, історії українців, громадські ініціативи та культурні тенденції. Усе, що відображає настрої та події в українському суспільстві, — читайте в розділі «Суспільство».

